傾斜した矩形密閉空間の輻射-熱伝導-対流連成解析

目的

左壁面を等温度加熱し右壁面を等温冷却した矩形容器内の輻射-熱伝導-対流連成解析を行います。 輻射熱伝達の計算ではFVM法を使用します。コード内にはモンテカルロ法(Monte-Carlo)とゾーン法(Zone)も実装されています。

解析対象

〇 形状

解析対象は、二次元の矩形密閉空間で、空間内は空気で満たされています(図 1)。

解析対象図
図 1. 解析対象図

〇 熱境界条件

密閉空間の長い方の壁は、それぞれ異なる一様な温度(高温壁 Th、​および低温壁 Tc​ )に保たれています。 短い方の壁は断熱と見なされます(図1)。

〇 傾斜

密閉空間は鉛直方向に対して傾斜角Φを持って配置されています。

解析条件

この解析条件を表 1にまとめています。

表 1.解析条件表

項目
計算コードAdvance/FrontFlow/red
輻射モデル有限体積法(FVM/DOM、Sn=6)
計算領域b=0.03[m], L/b=2, Z/b=3, b_i/b=0.4, L_i/L=0.8
境界条件x=0, T=T_h, x=b, T=T_c, y=0, L, δT/δn-q_r=0, z=0, Z周期条件
メッシュ6面体格子、セル数 30×40×60、50×100×60
計算パラメータRa = 7.5×104, Pr = 0.70, T_0 = 300K

また、パラメータ説明を以下にまとめます。

パラメータ
Ra:Rayleigh数、Pr:Prandtl数、Rk=ks/kf:物体と流体の熱伝導率の比、Nu:Nusselt数、Nuw:熱い壁面平均Nusselt数、qr:輻射熱流束、ΔT=(Th-Tc)、ε:壁面放射率

物体と密度、熱容量は流体と同一とする

解析結果 等温線図

図2は、Z中心断面の等温線図の、輻射なし・傾斜角なし、輻射あり・傾斜角あり、輻射あり、傾斜角30°を文献とAFFrの解析結果で比較したものです。等温線は、高温の左壁から低温の右壁に向かって、流動によって大きく歪んでいることがわかります。特に、上部の角付近では熱い空気の層が停滞し、温度成層の傾向が強く見られます。

Z中心断面の等温線図
図 2. Z中心断面の等温線図

左の白黒の結果は文献[1]、カラーの結果は本計算、カラーは温度の高さを表示する。

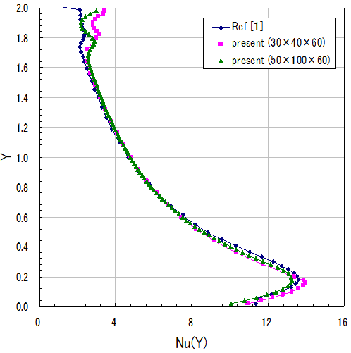
解析結果 熱い壁面上でのヌセルト数(Nu)分布図

図3は、熱い壁面上でZ方向中央断面のNu分布図です。文献[1]とメッシュ分割を変えた、本計算結果で比較しています。本解析結果は、メッシュ分割を変えても、文献とよく一致していることがわかります。

熱い壁面上でZ方向中央断面のNu分布図
図 3. 熱い壁面上でZ方向中央断面のNu分布図 (Φ=0、R_k=1、ε=1)

解析結果 熱い壁面上の平均Nuwにおいて傾斜角度の影響

図4は、熱い壁面上を平均ヌセルト数が、傾斜角によってどのように変化するかを示しています。傾斜角θ=-30°付近でNuwは最大値をとり、θ=60°付近で最小値を取ることがわかります。

熱い壁面上の平均Nuwと傾斜角のグラフ
図 4. 熱い壁面上の平均Nuwにおいて傾斜角度の影響(Rk=1、ε=1)

図5は、密閉空間内に内蔵された物体の伝導率Rkが、熱い壁面上の平均ヌセルト数Nuwに及ぼす影響を示しています。

熱い壁面上の平均Nuwと物体熱伝導率のグラフ
図 5. 熱い壁面上の平均Nuwにおいて物体熱伝導率の影響 (Φ=0、ε=1)

まとめ

本解析は、Advance/FrontFlow/redで、傾斜した矩形密閉空間における表面輻射、熱伝導、自然対流の連成熱伝達を扱っています。その妥当性は、等温線図の傾向(図2)、垂直配置での局所ヌセルト数分布(図3)や、傾斜角(図4)および内部物体伝導率(図5)の影響に関する平均ヌセルト数の傾向で、論文とほぼ良好に一致することを確認しています。

(*)参考文献: [1] Bouali H., Mezrhaba A., Amaoui H., Bouzidi M. Radiation-Natural Convection Heat Transfer in an Inclined Rectangular Enclosure, Int. J. Thermal Sci., 45, 553-566, 2006.

カテゴリ

輻射